1

Can + Man

Topic: Can + Man

Друзья!
Подскажите где  в MAN TGS 40.430 подключиться к can шине?
Не могу найти схему электропроводки, очень выручайте. Буду рад если кто поделиться наработками по данным машинам.

2

Can + Man

Re: Can + Man

По 2010 году есть инфа. Справа за панелью, левый верхний разъем (белый), витая пара синий/белый, синий/красный. Ху из ху - не записал, проверяется мультиметром.

Аркадий Рушкевич
3

Can + Man

(edited by os_86 11/10/2012 10:15:46)

Re: Can + Man

Obscured wrote:

По 2010 году есть инфа. Справа за панелью, левый верхний разъем (белый), витая пара синий/белый, синий/красный. Ху из ху - не записал, проверяется мультиметром.

Если верить глазам smile, то получается что это требуемые мне провода.

4

Can + Man

(edited by os_86 11/10/2012 11:31:15)

Re: Can + Man

Подключился. Прибор Galileo.
Данные которые пришли на Виалон:
can_a0:    0
can_a1:    150
fuel_level:    60
temp_aqua:    -40
taho:    0
can_b0:    0
can_b1:    0

И проблема вот еще в чем,  не реагирует на команды для изменения настроек по CAN.

Поэтому даже не знаю, в каком режиме работает CAN.

Неужели это ед.данные которые можно получить ?

5

Can + Man

Re: Can + Man

os_86 wrote:

Если верить глазам smile, то получается что это требуемые мне провода.

Ну, в целом похоже smile
У меня правда немного по другому на фото разъемы расположены.

Аркадий Рушкевич
6

Can + Man

Re: Can + Man

Obscured wrote:
os_86 wrote:

Если верить глазам smile, то получается что это требуемые мне провода.

Ну, в целом похоже smile
У меня правда немного по другому на фото разъемы расположены.

Так проблема в другом,  мне от того что из всех данных только объем % топлива в баке показывает, толку нет.
Меня обороты интересовали. Сейчас вместо Galileo Автограф попытаюсь зацепить, мож он чего покажет больше...

7

Can + Man

(edited by ILS 15/11/2012 12:03:21)

Re: Can + Man

Добрый день!

Сталкивался ли кто-нибудь с подключением к CAN и MAN 33390 2008 года?

Garage Monitoring
8

Can + Man

Re: Can + Man

по сути, голова такая же как и у TGA
на TGA подключали через CAN-XLOG

9

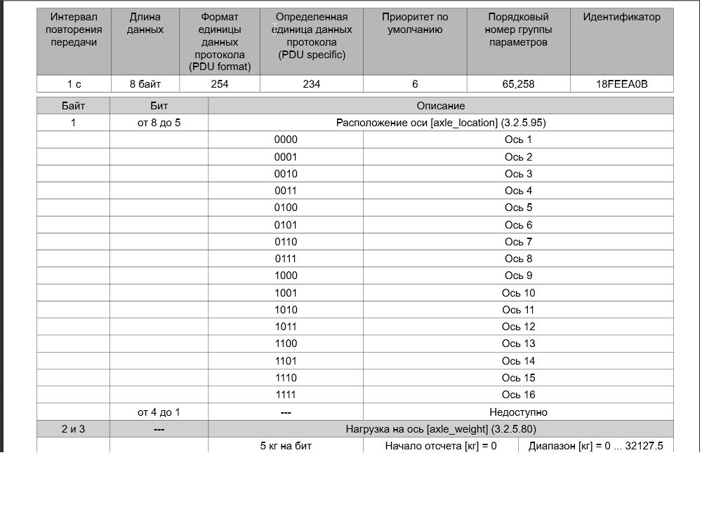
Can + Man

Re: Can + Man

На TGA можно и напрямую подключаться, но не на всех заработает - попробуйте, если есть возможность.
Почему-то среди MANов мне встречалось больше всего машин, на которых после подключения CAN начинала глючить электрика (до отключения трекера).

Аркадий Рушкевич
10

Can + Man

(edited by MaximV 30/11/2012 09:08:36)

Re: Can + Man

подключать CAN H к сине-красному, а CAN L к сине-белому, через резистор 120 Ом
не получается картинку прикрепить вот ссылка clip2net.com/s/2ysXt

11

Can + Man

Re: Can + Man

Новая задача...
Есть МАН, подключился к CAN.
Если использовать FMS  - то вижу
Общий расход топлива
Уровень топлива %
Темп охл. жидкости
Обороты
Общий пробег.
....
Вроде бы все хорошо, но хочется еще разобраться вот в чем.
В настройках CAN сделал сканирование по J1939. Вот что я получил:
CAN. Start scan.
ID=0C00000B (8)   FC FF FF 7D FF FF FF FF
ID=0C00270B (8)   FF FF FF 19 FF FF FF FF
ID=0C010305 (8)   FF 00 FF FF FF 20 4E 00
ID=0CF00203 (8)   CC FF FF 00 FF 38 12 FF
ID=0CF00300 (8)   F1 00 21 FF FF FF FF FF
ID=0CF00400 (8)   F1 7D 92 C8 12 FF 00 FF
ID=0CFE6CEE (8)   00 00 C0 C1 00 00 00 00
ID=18EA2721 (3)   E9 FE 00
ID=18EBFF00 (8)   02 23 D9 50 2D DA 00 32
ID=18ECFF00 (8)   20 1C 00 04 FF E3 FE 00
ID=0C00000B (8)   FC FF FF 7D FF FF FF FF
ID=18F00027 (8)   F0 7D FF FF FF FF FF FF
ID=18F00029 (8)   F6 7D 7D 00 FF FF F0 68
ID=18F0010B (8)   0F 00 F0 FF FF 01 FF FF
ID=18F00503 (8)   FF FF FF FF FF FF FF FF
ID=18FDC40B (8)   1F FF FF FF FF FF FF FF
ID=18FE700B (8)   FF FF FF FF FF FF FF FF
ID=18FEAD0B (8)   00 00 00 00 00 00 FF FF
ID=18FEAE30 (8)   FF FF 96 96 FF FF CF 3F
ID=18FEBF0B (8)   00 00 7D 7D 7D 7D FF FF
ID=18FEC027 (8)   FF 4F 83 FF FF FF FF FF
ID=18FEC1EE (8)   90 4D 0E 00 90 4D 0E 00
ID=18FECA00 (8)   00 FF 00 00 00 00 FF FF
ID=18FECA0B (8)   C0 FF 00 00 00 00 FF FF
ID=18FECA27 (8)   00 FF 00 00 00 00 FF FF
ID=18FEDF00 (8)   84 00 00 FF FF FF FF FF
ID=18FEE527 (8)   5B 06 00 00 6A 18 00 00
ID=18FEE6EE (8)   58 24 07 0C 0A 1B 7D 7D
ID=18FEE927 (8)   FF FF FF FF B7 0B 00 00
ID=18FEED27 (8)   59 FF FF FF FF FF FF FF
ID=18FEEE00 (8)   3C 36 5C 24 FF FF FF FF
ID=18FEEF00 (8)   49 FF DA 95 FF FF FF FF
ID=18FEF100 (8)   07 00 00 04 04 FF 00 FF
ID=18FEF227 (8)   81 00 00 00 FF FF FF FF
ID=18FEF500 (8)   CC FF FF 28 24 FF FF FF
ID=18FEF600 (8)   FF 32 37 FF FF FF FF FF
ID=18FEF700 (8)   FF FF FF FF 32 02 FF FF
ID=18FEFC21 (8)   FF 1B FF FF FF FF FF FF
ID=18FFA121 (8)   14 30 CF C0 7C 0F 3C FF
ID=1CFEC703 (8)   FF FF F5 FF 14 00 00 14
CAN. End scan.

А теперь вопрос. Как отсюда получить ценную информацию? Что есть что ?
Кто нибудь сталкивался с таким. Заказчика интересует еще нагрузка на оси. FMS этого мне не дает.
Подскажите плиз. Времени всего 5 часов осталось )

12

Can + Man

(edited by GoGPS 03/12/2012 12:07:10)

Re: Can + Man

os_86
Часто бывает что в шине нет данных по нагрузке на оси. Например на DAF`ах получить данные не получилось, а на Volvo получаем нагрузку по каждой оси. По Man не в курсе еще... Возможно зависит от комплектации конкретного авто...

Eduard Vald / GoGPS Service
www.gogps.eu
eduard.vald@gogps.eu
13

Can + Man

Re: Can + Man

GoGPS wrote:

os_86
Часто бывает что в шине нет данных по нагрузке на оси. Например на DAF`ах получить данные не получилось, а на Volvo получаем нагрузку по каждой оси. По Man не в курсе еще... Возможно зависит от комплектации конкретного авто...

MAN TGA 40.410

14

Can + Man

(edited by GoGPS 03/12/2012 16:04:22)

Re: Can + Man

os_86
К сожалению не могу сказать, пробовать надо. И опять таки будет зависеть от комплектации конкретного авто...

Eduard Vald / GoGPS Service
www.gogps.eu
eduard.vald@gogps.eu
15

Can + Man

(edited by Knight_1984 17/01/2013 18:33:29)

Re: Can + Man

На MAN ни разу не доводилось видеть параметр нагрузка на оси, только в Рено и Ивеко.
Касательно расшифровки берем толмут и сидим разбираемся что есть что.
https://dl.dropbox.com/u/47279297/SAE%2 … 0layer.pdf

Никогда не знаешь, что наступит раньше — следующий день или следующая жизнь.
16

Can + Man

Re: Can + Man

Knight_1984 wrote:

На MAN ни разу не доводилось видеть параметр нагрузка на оси, только в Рено и Ивеко.
Касательно расшифровки берем толмут и сидим разбираемся что есть что.
https://dl.dropbox.com/u/47279297/SAE%2 … 0layer.pdf

Что есть что, я уже нашел... как расшифровать эти значения?

17

Can + Man

Re: Can + Man

Ребята, вы пробовали узнавать, может на машине не стоит датчиков нагрузки, может они аналоговые и не заведены на CAN, может данные идут в бортовой комп по  другой шине , комплектации могут быть самые разные...так сидеть и ловить можно до бесконечности.

Добавлено спустя   6 минут  57 секунд:
И еще...нагрузка на ось -весьма условный параметр. По большому счету-просто узнать, груженая машина или пустая..

18

Can + Man

(edited by os_86 01/02/2013 11:22:55)

Re: Can + Man

Dartis wrote:

Ребята, вы пробовали узнавать, может на машине не стоит датчиков нагрузки, может они аналоговые и не заведены на CAN, может данные идут в бортовой комп по  другой шине , комплектации могут быть самые разные...так сидеть и ловить можно до бесконечности.

Добавлено спустя   6 минут  57 секунд:
И еще...нагрузка на ось -весьма условный параметр. По большому счету-просто узнать, груженая машина или пустая..

В данной комплектации этого нет... Из тех параметров что я нашел, нет нагрузки на ось...
Сейчас будут в монтаже скамейки, посмотрим что у них есть smile А по манам вопрос по сути закрыт...

19

Can + Man

Re: Can + Man

os_86 wrote:

скамейки, посмотрим что у них есть

В четвертой серии ничего интересного, там по сути и CAN полноценного нет. В пятой уже интереснее, мы всего пару машин пятой серии упаковали - толком даже не успели разобраться, сильно нас торопили.

20

Can + Man

Re: Can + Man

Понятно что модификаций много, но вроде так. Скания R серии с нагрузкой на ось по CAN на FM4200 у нас в демке бегает.

Семь лет мак не родился и голода не знали!
С уважением
Игорь
21

Can + Man

Re: Can + Man

os_86 wrote:

Разобрался я в  дебрях.
Полезной информации в принципе хватает, был бы толк от нее.
Из всего перечисленного, используем только те, что отмечены красной точкой на картинке. http://s2.ipicture.ru/uploads/20130214/UdcqxUEU.png

Только мгновенный расход топлива не км/л, а л/км. А так впечатляет smile

22

Can + Man

Re: Can + Man

Всем день добрый.
Если кому не жалко, поделитесь, пжл, тарировочной таблицей к а/м MAN, бак 300 л.
Хочу попробовать контроль топлива по CAN.

23

Can + Man

Re: Can + Man

Bear_mur wrote:

Всем день добрый.
Если кому не жалко, поделитесь, пжл, тарировочной таблицей к а/м MAN, бак 300 л.
Хочу попробовать контроль топлива по CAN.

Лучше сделать тарировку... так показала практика...

Потому как на Баке было написано 300 литров, а вмещает в себя бак от 310 до 325 литров.

24

Can + Man

Re: Can + Man

os_86 wrote:

Лучше сделать тарировку... так показала практика...

Потому как на Баке было написано 300 литров, а вмещает в себя бак от 310 до 325 литров.

Тарировку сможем сделать на этом ТС только через неделю, пока хотелось примерно глянуть. CAN показывает уровень топлива в %, получается линейная зависимость, и показания в результате некорректные.

25

Can + Man

Re: Can + Man

Есть ли смысл ковырять шину у MAN FM 1999года? Вчера пробовали подцепиться через Naviset GT20 - безуспешно.

26

Can + Man

Re: Can + Man

SSM-K wrote:

Есть ли смысл ковырять шину у MAN FM 1999года?

Нет, данные по топливу можно снять начиная с 2002 г.в., и то не всегда. Все, что старше 2002г. однозначно - нет.

Миночкин Дмитрий
ООО "Балтавтоматика"
www.baltgps.ru
27

Can + Man

Re: Can + Man

ребята подскажите какова погрешность показания топлива на МАН если подключиться через CAN шину

28

Can + Man

Re: Can + Man

Ромарио
есть ли использовать ДАРТ, то погрешность минимальная. Если же ДУТ, то большая. В общем расход считает хорошо, а заправки\сливы не очень

Avtonavix
Russia, Novosibirsk
avtonavix.ru
29

Can + Man

Re: Can + Man

ребята подскажите какова погрешность данных топлива при подключении через CAN шину на МАН

30

Can + Man

(edited by keeper 17/01/2014 08:03:36)

Re: Can + Man

Вообще попадаются MANы, у которых в CAN абсолютный расход топлива идет не *0,5 литра, а целыми единицами.
Мне кажется, что у MAN расход в CAN и реальный расход наиболее расходятся между собой.И чем более пустой ездит авто тем,больше это расхождение.5-7% в большую сторону легко.

31

Can + Man

Re: Can + Man

т.е. со штатного датчика через CAN погрешность минимальная?

32

Can + Man

Re: Can + Man

Ромарио wrote:

т.е. со штатного датчика через CAN погрешность минимальная?

По своему опыту скажу, что лучше не полениться и поставить ДУТ отдельно.
Бывает иногда что и CAN шина подвисает. И как уже говорилось ранее, не всегда верно считает заправки и сливы при использовании штатного датчика уровня топлива.

33

Can + Man

Re: Can + Man

Ромарио wrote:

т.е. со штатного датчика через CAN погрешность минимальная?

Ну вот у меня есть в Wialon машины, у которых расход по году составляет 100 тонн ДТ. Посчитайте завышение расхода на 5-7% и сравните со стоимостью установленного ДУТ.

34

Can + Man

Re: Can + Man

люди поделитесь у кого есть схема по подключению по кан шине на деу нексия и автомобиль man грузовой

35

Can + Man

Re: Can + Man

aleksandr3112 wrote:

люди поделитесь у кого есть схема по подключению по кан шине на деу нексия и автомобиль man грузовой

MAN Какой ? TGS-ка ?

36

Can + Man

Re: Can + Man

aleksandr3112
на нексии насколько мне известно can нету, на MAN все легкоо гуглится. Вот например картинка

Avtonavix
Russia, Novosibirsk
avtonavix.ru
37

Can + Man

Re: Can + Man

было бы конечно хорошо если бы у кого ни будь нашлась схема и видео по подключению daewoo nexia желательно на русском

Добавлено спустя   2 минуты  33 секунды:
os_86
да без разници если есть отправьте пожалуйста

Добавлено спустя   8 минут  58 секунд:
Если есть на несколько схем и в особенности  на TGS-ку

38

Can + Man

Re: Can + Man

Будьте так любезны скиньте пожалуйста несколько схем

Добавлено спустя   3 минуты  55 секунд:
Будьте так любезны скиньте пожалуйста несколько схем на MAN-ы

39

Can + Man

Re: Can + Man

MAN TGA 33.430   2007год   Евро 3
MAN TGA 40.480   2007год   Евро 3 
кто нибудь скиньте  пожалуйста  схемы  по этим машинам
правильное поключение по кан шине

40

Can + Man

Re: Can + Man

скажите пожалуйсто, кто нибудь вообще подключал деу нексия к CAN шине? может у кого нибудь есть схема подключения.

41

Can + Man

Re: Can + Man

Ромарио
Дэу Нексия это Опель Кадетт черти знает какого года, какая там CAN шина вообще?

42

Can + Man

Re: Can + Man

aleksandr3112 wrote:

было бы конечно хорошо если бы у кого ни будь нашлась схема и видео по подключению daewoo nexia желательно на русском

Добавлено спустя   2 минуты  33 секунды:
os_86
да без разници если есть отправьте пожалуйста

Добавлено спустя   8 минут  58 секунд:
Если есть на несколько схем и в особенности  на TGS-ку

На самом деле все просто.
Садитесь на пассажирское сиденье, открываете панель перед вами. Увидите кучу проводов.
Слева есть провода связанные в жгуты. С фишками идущими в блоки. Их там два(блока).
В этой копне ищите синий с белой полоской, и синий с красной. Вот Ваши провода. Ед. не помню что есть L а что H.

43

Can + Man

Re: Can + Man

MAN TGA 33.430   2007год   Евро 3
MAN TGA 40.480   2007год   Евро 3 
кто нибудь скиньте  пожалуйста  схемы  по этим машинам
правильное поключение по кан шине
   Будьте так любезны скиньте пожалуйста несколько схем на MAN-ы на подключение GALILEOSKY GPS трекеров

44

Can + Man

Re: Can + Man

По-моему там все классически - справа за панелью витая пара. там же плюс, минус и зажигание можно взять.

Если хочешь чтобы мир изменился - стань сам этим изменением.
45

Can + Man

Re: Can + Man

Тут примерно в середине документа есть по MAN TGA

Семь лет мак не родился и голода не знали!
С уважением
Игорь
46

Can + Man

Re: Can + Man

aleksandr3112 wrote:

MAN TGA 33.430   2007год   Евро 3
MAN TGA 40.480   2007год   Евро 3 
кто нибудь скиньте  пожалуйста  схемы  по этим машинам
правильное поключение по кан шине
   Будьте так любезны скиньте пожалуйста несколько схем на MAN-ы на подключение GALILEOSKY GPS трекеров

С ман вообще никаких проблем пока не было, подключались практически все модели.
Все основные данные идут без проблем и для большинства задач мониторинга этого вполне хватает.
Конечно, кому нужно с точностью до литра контролировать заправки, то без внешнего дут не обойтись.

А многих устраивает штатный расход топлива, который идёт с мозгов машины.

E-group - топливные карты эталонкард
47

Can + Man

Re: Can + Man

os_86 wrote:
Bear_mur wrote:

Всем день добрый.
Если кому не жалко, поделитесь, пжл, тарировочной таблицей к а/м MAN, бак 300 л.
Хочу попробовать контроль топлива по CAN.

Лучше сделать тарировку... так показала практика...

Потому как на Баке было написано 300 литров, а вмещает в себя бак от 310 до 325 литров.

Проверили несколько МАНов, объем бака в районе 295 л.

48

Can + Man

Re: Can + Man

если пытаться приблизить к реальному расходу на МАНах, то наряду с коэффициентом 0,5 приходится еще домножать на от  1,04до 1,09. Но определенного числа нет. Пока что на всех ТС данного производителя все по разному.

49

Can + Man

(edited by andrey161 21/05/2016 18:53:35)

Re: Can + Man

Всем здравствуйте!
Установили Галю 5. ДУТ Омником . Но заказчику этих данных мало. Нужно с КАН-шины. Машины :
26.413 FDS - 2003г.в.
26.413 FDS - 2004 г.в
Где можно подключиться и как правильнее будет напрямую или через крокодил?
ЗАРАНЕЕ СПАСИБО

50

Can + Man

Re: Can + Man

andrey161 wrote:

Всем здравствуйте!
Установили Галю 5. ДУТ Омником . Но заказчику этих данных мало. Нужно с КАН-шины. Машины :
26.413 FDS - 2003г.в.
26.413 FDS - 2004 г.в
Где можно подключиться и как правильнее будет напрямую или через крокодил?
ЗАРАНЕЕ СПАСИБО

В центральной консоли зеленый разъем с двумя can

51

Can + Man

Re: Can + Man

Спасибо! Нашел КАН с пассажирской стороны. Стоят два блока. Верхний. Левый белый разъем. CAN-H сине-красный. CAN-L сине-белый.
В центральной консоли не лазил. Воспользовался подсказкой добрых людей с этого форума. Вчера физически подключил. В программе видит. Сегодня буду увязывать к отчетам.

52

Can + Man

Re: Can + Man

MAN TGS 33.480 6x4 BBS WV    2011 года  Galileo+Бесконтактный CAN считыватель, можно ли считать уровень в баке параметрами по умолчанию или нужно будет выискивать параметр и вычислять?
Есть ли какие нибудь подводные камни, буду рад любой информации.
Почему спрашиваю, пробовал считать с  MAN TGS 2011 в галилео показал много параметров но визуально показал Общий потраченый литраж - Температуру охлаждающей жидкости - Общий пробег - а вот уровень в баке не показал.
Подскажите пожалуйста, буду рад любой информации!

53

Can + Man

Re: Can + Man

Уровень передаётся - никаких проблем на ТГС замечено небыло....
Передаётся в параметре 18FEFC21

54

Can + Man

(edited by glonaservice 14/03/2017 15:47:26)

Re: Can + Man

79002410122 wrote:

Уровень передаётся - никаких проблем на ТГС замечено небыло....
Передаётся в параметре 18FEFC21

подскажите, как ее распарсить - эту строку?
с CAN впервые столкнулся...

может есть формула какая ))) ?

55

Can + Man

Re: Can + Man

Галилео к КАНу на мане подключается прекрасно на прямую......
Данные уровня передаются во втором байте....
Всё есть в описании протокола FMS, передаётся в %, формулы нет......

56

Can + Man

Re: Can + Man

79002410122 wrote:

Всё есть в описании протокола FMS, передаётся в %, формулы нет......

ну как бы надо на 0.4 умножить чтобы получить проценты, если мне память не изменяет smile

Если хочешь чтобы мир изменился - стань сам этим изменением.
57

Can + Man

Re: Can + Man

сорри, всё верно 0,4

58

Can + Man

Re: Can + Man

спасибо огромное!!! теперь все ясно

59

Can + Man

Re: Can + Man

У меня еще вопрос.. сообщение такого вида
hdop=1, pwr_ext=24.545, pwr_int=4.156, temp_int=36, can_a0=317431, can_a1=23513, fuel_level=86.8, temp_aqua=51, taho=0, can_b0=77947923, can_r24=0, valid=0, soft=229
fuel_level=86.8 - это уже уровень в процентах

Полагаю мне не нужно умножать на 0.4 ?

60

Can + Man

Re: Can + Man

Всё верно, умножать ничего не нужно

61

Can + Man

(edited by glonaservice 20/03/2017 16:37:21)

Re: Can + Man

Господа! Скажите у Вас по CAN шине считает нормально потраченые литры?
Я подключил 2 Galileo 1.8.5(какие были) + бесконтактныйCAN  считыватель.
Данные получил: обороты, расход абсолютный, пробег абсолютный,уровень топлива в %.
Только вот получилась полная ерунда по показаниям уровня топлива... сразу принято решение тарировать бак.
И что выходит...
Проценты в баке   -  Залито литров
0           - 0
4           - 50
8           - 70
12.8     - 90
16.8     - 113
20.8     - 136
24.8     - 160
26        - 175
30        - 185
34         - 217
38        - 230
42.8     - 250
46.8      - 275
52(50.8)- 295   ( 52-315 )    черз 23л отшатнулся поплавок
56        - 318
60       - 340
64.8    - 365
68.8    - 388   шаг в 24 литра откликавается поплавок на бак в 600л
72.8    - 412
78       - 435
82       - 459
86.8    - 481
91.6    - 505
96.      - 530
99       - 550 уже показывает полный
100     - 608  ()
Шаг когда поплавок штатный сойдет с места и покажет уровень в процентах 23 - 25 литров.
Про полный бак вообще молчу можно по 50 литров смело сливать ))))

Подскажите у меня одного такая байда?

Поделитесь опытом у кого как случалось и получилось ли?

62

Can + Man

Re: Can + Man

glonaservice wrote:

Подскажите у меня одного такая байда?

glonaservice wrote:

Поделитесь опытом у кого как случалось и получилось ли?

особенности штатного ДУТ на грузовиках. Свои цели он выполняет, для мониторинга точность низкая + мертвая зона.

Кураж - монтаж

Re: Can + Man

Нужно подключиться к CAN на автобусах:
MAN Lion’s Coach – 2016 г.в.
MAN Lion’s Intercity – 2016 г.в.

Подскажите, протокол у них FMS, как и грузовиков? Смогу я без CAN-Log обойтись? Трекер считывает только FMS

64

Can + Man

Re: Can + Man

Контроллер двигателя на 90% будет EDC 7 или EDC 17, то есть стандартный j1939 со всеми радостями.
   
Памятка по некоторым популярным телематическим PGN
https://forum.gurtam.com/viewtopic.php?id=11026

Спрашивайте про контроль топлива и CAN
65

Can + Man

Re: Can + Man

Коллеги, кто подключался к MAN TGA 2006г?
Программа CAN-LOG от 2005г. не подошла...
Кто знает адреса датчиков нагрузки на ось?

66

Can + Man

Re: Can + Man

Во вложении, но:
Приведенные нагрузки на оси не являются точными, возможно отклонение до нескольких сотен килограмм.
Перечисленные данные не входят в состав величин, отображаемых системой индикации серийной комбинации приборов.
Представленные функциональные возможности зависят от оснащения автомобиля и ограничиваются возможностями данного
интерфейса.

  • Can + Man
67

Can + Man

Re: Can + Man

79002410122 wrote:

денные нагрузки на оси не являются точными, возможно отклонение до нескольких сотен килограмм.
Перечисленные данные не входят в состав величи

Спасибо!

68

Can + Man

(edited by Fahivetz 02/03/2018 01:05:23)

Re: Can + Man

MAN TGS 40.401 2017 року підключення до CAN шини на рожевих дротах з позначками 173 та 174 відповідно низький та високий. Це є так званий iCAN інформаційна шина, по який відбувається передача даних на панель приладів.
Порада.
Не підключатися на червоно-блакитний  та біло-блакитний, то є CAN шина, що відповідає за трансмісію, хоча там є дані, зокрема паливо, були випадки відмови гальмивної системи.
Завжди підключайтесь (якщо на "пряму" к дротам) з вимкнутим запалюванням, та 120 Ом, кінцевим термінатором.
Бажано підключатись через, так званий, "крокодил".

69

Can + Man

Re: Can + Man

Сколько литров сверху и снизу бака не видит САН в TGA бак 600л?
И какая погрешность дута?
Какую степень фильтрации ставите, чтобы исключить скачки старте двигателя?

70

Can + Man

Re: Can + Man

cynpeccop wrote:
glonaservice wrote:

Подскажите у меня одного такая байда?

glonaservice wrote:

Поделитесь опытом у кого как случалось и получилось ли?

особенности штатного ДУТ на грузовиках. Свои цели он выполняет, для мониторинга точность низкая + мертвая зона.

А разве точность у емкостных ДУТ лучше? У нас машины ездят по всей России с дозаправками, топливо везде разное. Видно что на разных сетях, разные погрешности и бывает больше 5%, т.е. на 600 л  30 литров заправка переливает за свой счет:)?
Да действительно на одном виде топлива в в одной сети в одном регионе, погрешность емкостных ДУТ меньше чем САН, но при неизбежности использовать различное топливо приходится прибегать к использованию САН для уточнения результата:)

71

Can + Man

(edited by SAT 01/06/2018 11:08:40)

Re: Can + Man

novikov.a wrote:
cynpeccop wrote:
glonaservice wrote:

Подскажите у меня одного такая байда?

glonaservice wrote:

Поделитесь опытом у кого как случалось и получилось ли?

особенности штатного ДУТ на грузовиках. Свои цели он выполняет, для мониторинга точность низкая + мертвая зона.

А разве точность у емкостных ДУТ лучше? У нас машины ездят по всей России с дозаправками, топливо везде разное. Видно что на разных сетях, разные погрешности и бывает больше 5%, т.е. на 600 л  30 литров заправка переливает за свой счет:)?
Да действительно на одном виде топлива в в одной сети в одном регионе, погрешность емкостных ДУТ меньше чем САН, но при неизбежности использовать различное топливо приходится прибегать к использованию САН для уточнения результата:)

Производители ДУТ декларируют точность 1% (фактически от объема прямоугольного бака). Это гораздо лучше, чем две "мертвых" зоны штатного ДУТ - сверху и снизу - по 5-7% каждая, минимум.
Расход топлива из CAN (по факту - рассчитываемый) может отличаться от реально измеренного  до 10-15% (а то и больше) - от загрузки, манеры езды и пр. Проверяли вместе с "упертыми" дилерами МАН, рассуждавших о точности до грамма.
Поэтому нормальный емкостной датчик - лучше.
Чеки АЗС могут отличаться от реальных заправок в ЛЮБУЮ сторону - это прежде всего двойная бухгалтерия самого водителя, не говоря уже о саботаже и дискредитации оборудования. Даже если лишние 30 литров залиты на АЗС, не факт, что это не печное топливо из канистры. А через пару дней будет недолив на 25л - и т.д.
Были случаи, когда водитель заправлял за свои, чтобы сделать "шабашку" менее заметной.

Не знаю, как плотность топлива влияет на всякие диэлектрические свойства диз.топлива,
но могу предположить что сравнимо с изменением массы топлива при одинаковом объеме.
Различие плотности топлива на разных АЗС не дадут Вам погрешность в десятки литров на заправке, а вот "правильно" настроенные счетчики колонки или сговор - легко.


"Это кто-то сбоку выстрелил." ))

"Если вы не можете объяснить это своей бабушке, вы сами этого не понимаете."  А.Эйнштейн
72

Can + Man

Re: Can + Man

MAN TGS 18.400 4X2 BLS   по CAN два бака,поплавок один,соответственно есть мёртвая зона в верху и внизу, соответственно расход и заправки бред!
Есть параметр "моментальный расход топлива(мгновенный расход топлива)на 100км".  к примеру 17л ,32л, 27л, 45 л, 20л. ит.д. Каким образом вывести среднюю цифру в отчёте?
Параметр "текущий  расход топлива " который можно суммировать по ДМРТ не нашли,может у кого есть инфа?

73

Can + Man

(edited by RedRock 31/01/2019 11:44:58)

Re: Can + Man

можно расчитать ДМРТ из этих показаний, с кан шины приходит пробег. Если взять за правела что от предедущей до текущей точки ТС двигалось с указанным среднем расходом, то формула будит выглидить так:
<ср.расход на 100км с CAN>*(<пробег с CAN в км>-#<пробег c CAN в км>)*const0.001
Конечно с погрешностью, но лучше чем ничего.

FFA0-0BBB-8911-15BB

https://www.reg.ru
74

Can + Man

Re: Can + Man

Скиньте полный лог, должен там быть общий расход.

Bender0711 wrote:

MAN TGS 18.400 4X2 BLS   по CAN два бака,поплавок один,соответственно есть мёртвая зона в верху и внизу, соответственно расход и заправки бред!
Есть параметр "моментальный расход топлива(мгновенный расход топлива)на 100км".  к примеру 17л ,32л, 27л, 45 л, 20л. ит.д. Каким образом вывести среднюю цифру в отчёте?
Параметр "текущий  расход топлива " который можно суммировать по ДМРТ не нашли,может у кого есть инфа?

75

Can + Man

(edited by SibNaviCom 05/02/2019 04:43:49)

Re: Can + Man

По CAN на MAN полную раскладку смогу дать на следующей неделе. Могу дать частично.
на мане свежем (2017), по крайней мере, данные по топливу приходят от системы управления двигателем (EMS) или координатора, который имеет на конце 27 в теге 29 битном.
Ищете тег 18 FE E9 27 (последнее значение 00 говорит, что данные от системы управления двигателем, 03- от коробки передач, 0B - от системы управления тормозами, 17 - комбинация приборов, 27 - координатор, 30 - система подготовки воздуха, ЕЕ- от тахографа и т.д.)
FE E9 - значение 32 битное должно быть - это "Total fuel used" с даты выпуска авто в продажу. с 1 по 4 байты не используются. данные в 5 байте
Разрешение 0.5 l/bit .
Значения лежат в пределах 0 to 2 105 540 607.5 л
значение от тэга , например у меня - 00 00 00 00 9B 1B 00 00
С помощью онлайн калькулятора (https://lin.in.ua/tools/numconv.html) переводим значение 1b00 в десятичное и умножаем на 0,5 = 6912*0,5=3456 л всего потрачено.
По данным уровня топлива с КАН в % и с ДУТ - честно, но с погрешностью 1% совладает. Про верхнюю и нижнюю зоны поплавка - это старые данные - на современных манах горловина в бак вмонтирована таким образом, что больше чем в горловину влазит, бак слегка "дутой" формы - не зальете, а воздушная прослойка в верху бака- как раз для поплавка. а воздух сверху не даст налить топлива прям чтоб под самую площадку ДУТА вверху. Все продумано немцами. Это не наша техника.То же самое и для нижней границы - через штатный забор фиг вы скачаете до нуля топлива, этого поплавку хватает. Только одна проблема - кан работает при заведенном двигателе (по крайней мере большинство данных интересных при заведенном двигателе). И если заправка/слив будет при отсутствии данных с КАН - картина будет не айс.
Если ман с полным фаршем - то количество параметров просто зашкаливает - начиная от % нажатия на педали тормоза/акселератора, заканчивая давлением топлива, включением стопарей)
Некоторые параметры 29 битные могу помочь расшифровать, если надо

76

Can + Man

Re: Can + Man

SibNaviCom Сколько  и какой объем баков  у Ваших МАНов?

77

Can + Man

Re: Can + Man

590, даже шилдик на такой обьем

78

Can + Man

Re: Can + Man

SibNaviCom  Тогда проблем нет. У наших МАНов 2 бака общим объемом по шилдикам 1380л (хотя водители по чекам заправляют до полного 1430 -1440л), соединены они тонкой трубкой, через которую  уровень топлива выравнивается самотеком. Для большего веселья предусмотрительный сумеречный тевтонский гений установил штатный датчик уровня топлива только в один бак.
Таким образом получается такая ситуация - если заправляют в бак без датчика, то заправку система не видит, а если в бак с датчиком, то заправка показывается в бОльшем объеме, причем в сколько раз большем - подсчитать не получится, так как не знаем каков разница уровней в баках в момент заправки. А если ТС после заправки стоит ночь на базе под камерами, то получаем еще и слив литров в 300-400, так как за ночь уровень выравнивается.
Вот поэтому пытаемся через Total fuel used получить средний расход на 100 и сколько топлива потрачено, но по Вашей формуле  0.5 l/bit получается около 26л/100 что есть маловато

79

Can + Man

Re: Can + Man

Насчёт много или мало, не могу судить. Этот же ман, по дут с загрузкой показывает 52л/100, а по бортовому 42. Заправки и контрольные сливы сходятся.

80

Can + Man

Re: Can + Man

SibNaviCom А можете написать сколько в среднем на 100, допустим, если за месяц? Какая модель и условия эксплуатации приблизительно - по трассам или где-то по карьерам?

81

Can + Man

Re: Can + Man

Укажите модель и год мана, скажу реальный расход

Shutzer wrote:

SibNaviCom А можете написать сколько в среднем на 100, допустим, если за месяц? Какая модель и условия эксплуатации приблизительно - по трассам или где-то по карьерам?

82

Can + Man

Re: Can + Man

bekstr  MAN TGS 18.400 4X2 BLS Годы 2017 -2018

83

Can + Man

Re: Can + Man

Трасса в 90%, расход где то 60 груженые, 45 пустой

84

Can + Man

Re: Can + Man

Имея 90 таких манов, уверенно скажу что это ложь!

SibNaviCom wrote:

Трасса в 90%, расход где то 60 груженые, 45 пустой

85

Can + Man

Re: Can + Man

Расход по трассе с двадцаткой 28-34 (зависит от водителя), "камазисты" и 39 привозили.
Экономайзер на панели откровенно занижает расход на 2-4 литра на сотку.
Проверено на 90 собственных и 200-300 соседских манах 2018 г.в.

Shutzer wrote:

bekstr  MAN TGS 18.400 4X2 BLS Годы 2017 -2018

86

Can + Man

Re: Can + Man

bekstr регион какой?

87

Can + Man

Re: Can + Man

Казань

SibNaviCom wrote:

bekstr регион какой?

88

Can + Man

Re: Can + Man

SibNaviCom лог кан шины с груженой машины, в движении,  в личку киньте

89

Can + Man

Re: Can + Man

bekstr wrote:

SibNaviCom лог кан шины с груженой машины, в движении,  в личку киньте

Можно и не в личку smile

90

Can + Man

(edited by dmitriyvladimirovich163 15/02/2019 14:33:00)

Re: Can + Man

Приветствую, Коллеги!
На новый Ман поставили ДУТ "Прогресс", подключили к Сигналу2551 по rs485 + CAN.
При повышенных оборотах т. е. при езде сильный дребезг топлива на графике ДУТ и в отчете по CAN(уровень топлива) аналогично.(стоит фильтрация в ПО, фильтрация в приборе безрезультатно). Есть какие-нибудь мысли у кого по этому поводу???

91

Can + Man

Re: Can + Man

dmitriyvladimirovich163 wrote:

Сигналу2551

кочки?)

Re: Can + Man

Valior68 wrote:
dmitriyvladimirovich163 wrote:

Сигналу2551

кочки?)

Да нет. На месте если газануть

Re: Can + Man

dmitriyvladimirovich163 wrote:
Valior68 wrote:
dmitriyvladimirovich163 wrote:

Сигналу2551

кочки?)

Да нет. На месте если газануть

В настройках ДУТ или терминала должно быть усреднение или антидребезг, посмотрите в эту сторону.

Щербаков Валерий

НАО "Сантэл-Навигация"
www.santel-navi.ru
94

Can + Man

Re: Can + Man

На корпус авто замыкания нет нигде?

PROGLONASS.INFO
Монтаж и обслуживание систем мониторинга транспорта и контроля топлива в Волгограде и прилегающих областях(Астраханской, Воронежской, Ростовской, Саратовской и республике Калмыкии)
+79053980515
95

Can + Man

Re: Can + Man

Проверяйте замыкание на массу и помехи по напряжению(было такое несколько раз из-за проблем с генератором)

dmitriyvladimirovich163 wrote:

Приветствую, Коллеги!
На новый Ман поставили ДУТ "Прогресс", подключили к Сигналу2551 по rs485 + CAN.
При повышенных оборотах т. е. при езде сильный дребезг топлива на графике ДУТ и в отчете по CAN(уровень топлива) аналогично.(стоит фильтрация в ПО, фильтрация в приборе безрезультатно). Есть какие-нибудь мысли у кого по этому поводу???

96

Can + Man

Re: Can + Man

SibNaviCom wrote:

По CAN на MAN полную раскладку смогу дать на следующей неделе. Могу дать частично.
на мане свежем (2017), по крайней мере, данные по топливу приходят от системы управления двигателем (EMS) или координатора, который имеет на конце 27 в теге 29 битном.
Ищете тег 18 FE E9 27 (последнее значение 00 говорит, что данные от системы управления двигателем, 03- от коробки передач, 0B - от системы управления тормозами, 17 - комбинация приборов, 27 - координатор, 30 - система подготовки воздуха, ЕЕ- от тахографа и т.д.)
FE E9 - значение 32 битное должно быть - это "Total fuel used" с даты выпуска авто в продажу. с 1 по 4 байты не используются. данные в 5 байте
Разрешение 0.5 l/bit .
Значения лежат в пределах 0 to 2 105 540 607.5 л
значение от тэга , например у меня - 00 00 00 00 9B 1B 00 00
С помощью онлайн калькулятора (https://lin.in.ua/tools/numconv.html) переводим значение 1b00 в десятичное и умножаем на 0,5 = 6912*0,5=3456 л всего потрачено.
По данным уровня топлива с КАН в % и с ДУТ - честно, но с погрешностью 1% совладает. Про верхнюю и нижнюю зоны поплавка - это старые данные - на современных манах горловина в бак вмонтирована таким образом, что больше чем в горловину влазит, бак слегка "дутой" формы - не зальете, а воздушная прослойка в верху бака- как раз для поплавка. а воздух сверху не даст налить топлива прям чтоб под самую площадку ДУТА вверху. Все продумано немцами. Это не наша техника.То же самое и для нижней границы - через штатный забор фиг вы скачаете до нуля топлива, этого поплавку хватает. Только одна проблема - кан работает при заведенном двигателе (по крайней мере большинство данных интересных при заведенном двигателе). И если заправка/слив будет при отсутствии данных с КАН - картина будет не айс.
Если ман с полным фаршем - то количество параметров просто зашкаливает - начиная от % нажатия на педали тормоза/акселератора, заканчивая давлением топлива, включением стопарей)
Некоторые параметры 29 битные могу помочь расшифровать, если надо

Помогите если не затруднит
Нужно с CAN вытянуть всю инфу связаную с ретардером/интардером
MAN euro6 TGS

97

Can + Man

Re: Can + Man

Вот какой прикол зайти на форум, не полениться зарегаться, найти более-менее подходящую тему и кричать-ПОМОГИТЕЕЕЕЕ? За время которое вы потратили на это можно было зайти в гугл/яндекс/попросить Алису или Сири, в конце концов, найти описание FMS и вуаля, ответ на ваш вопрос в первом-же идентификаторе!

ukralexei wrote:
SibNaviCom wrote:

По CAN на MAN полную раскладку смогу дать на следующей неделе. Могу дать частично.
на мане свежем (2017), по крайней мере, данные по топливу приходят от системы управления двигателем (EMS) или координатора, который имеет на конце 27 в теге 29 битном.
Ищете тег 18 FE E9 27 (последнее значение 00 говорит, что данные от системы управления двигателем, 03- от коробки передач, 0B - от системы управления тормозами, 17 - комбинация приборов, 27 - координатор, 30 - система подготовки воздуха, ЕЕ- от тахографа и т.д.)
FE E9 - значение 32 битное должно быть - это "Total fuel used" с даты выпуска авто в продажу. с 1 по 4 байты не используются. данные в 5 байте
Разрешение 0.5 l/bit .
Значения лежат в пределах 0 to 2 105 540 607.5 л
значение от тэга , например у меня - 00 00 00 00 9B 1B 00 00
С помощью онлайн калькулятора (https://lin.in.ua/tools/numconv.html) переводим значение 1b00 в десятичное и умножаем на 0,5 = 6912*0,5=3456 л всего потрачено.
По данным уровня топлива с КАН в % и с ДУТ - честно, но с погрешностью 1% совладает. Про верхнюю и нижнюю зоны поплавка - это старые данные - на современных манах горловина в бак вмонтирована таким образом, что больше чем в горловину влазит, бак слегка "дутой" формы - не зальете, а воздушная прослойка в верху бака- как раз для поплавка. а воздух сверху не даст налить топлива прям чтоб под самую площадку ДУТА вверху. Все продумано немцами. Это не наша техника.То же самое и для нижней границы - через штатный забор фиг вы скачаете до нуля топлива, этого поплавку хватает. Только одна проблема - кан работает при заведенном двигателе (по крайней мере большинство данных интересных при заведенном двигателе). И если заправка/слив будет при отсутствии данных с КАН - картина будет не айс.
Если ман с полным фаршем - то количество параметров просто зашкаливает - начиная от % нажатия на педали тормоза/акселератора, заканчивая давлением топлива, включением стопарей)
Некоторые параметры 29 битные могу помочь расшифровать, если надо

Помогите если не затруднит
Нужно с CAN вытянуть всю инфу связаную с ретардером/интардером
MAN euro6 TGS